Cập nhật mới nhất danh sách 342 ô tô, xe máy bị Camera AI "phạt nguội"
| Công khai danh sách 545 chủ xe bị xử lý "phạt nguội" qua hệ thống camera AI Hơn 650 tài xế tại Hà Nội bị camera AI ghi hình vi phạm trong 4 ngày nghỉ Tết Dương lịch |
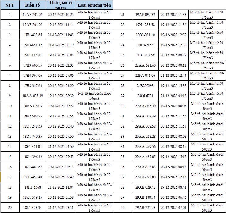
Tổng số phương tiện: 342 trường hợp. Trong đó: Ô tô: 82 xe (bao gồm xe con, xe khách, xe tải VAN và cả xe trộn bê tông); Xe máy: 260 xe; phần lớn các vi phạm tập trung vào các ngày 19, 20 và 21/12/2025.
Danh sách ô tô vi phạm:


Danh sách xe máy vi phạm:

![]() |





| Hướng dẫn tra cứu và xử lý: Tra cứu trực tuyến: Người dân sử dụng ứng dụng VNeTraffic hoặc truy cập website của Cục Cảnh sát giao thông tại www.csgt.vn Giải quyết trực tiếp: Đến Đội Chỉ huy giao thông và điều khiển đèn tín hiệu giao thông tại số 54 Trần Hưng Đạo, phường Cửa Nam, Hà Nội (ĐT: 0692.196.440). Tiếp nhận tại địa bàn: Người dân cư trú tại Hà Nội có thể đến 14 địa điểm tiếp nhận của Phòng CSGT tại các khu vực để giải quyết. |
Có thể bạn quan tâm
Nên xem
Xã Thượng Phúc ra quân Tổng điều tra kinh tế năm 2026
Đại hội XIV của Đảng được chuẩn bị chu đáo, an ninh, an toàn, đúng quy định
Dưới “mái nhà” đại đoàn kết toàn dân tộc, làm nên những mùa xuân
Phường Nghĩa Đô kịp thời thăm hỏi, hỗ trợ các nạn nhân vụ cháy tại ngõ 82 Trần Cung
Tai nạn giao thông ở lứa tuổi học sinh tại Hà Nội giảm mạnh
Những điều cần biết khi tham gia các kỳ thi riêng
Hà Nội tuyên dương, khen thưởng huấn luyện viên, vận động viên đạt thành tích xuất sắc tại SEA Games 33
Tin khác
Tây Hồ: Quyết liệt xử lý vi phạm về pháo và vũ khí trước thềm Tết Bính Ngọ 2026
Tin nóng 06/01/2026 23:09
Phát hiện kho pháo lậu "khủng" hơn 6 tấn giấu trong khu dân cư
Tin nóng 06/01/2026 09:51
Hiện trường đầy xác pháo trong vụ cháy khiến nam thanh niên 19 tuổi tử vong tại xã Phúc Thọ
Tin nóng 05/01/2026 20:49
Thông tin chi trả tiền đợt 7 vụ án Trương Mỹ Lan và đồng phạm
Tin nóng 05/01/2026 16:31
Bắt quả tang kẻ gian trà trộn vào pháp hội chùa Khai Nguyên trộm cắp tài sản
Tin nóng 04/01/2026 22:21
Chủ xe ngỡ ngàng nhận lại tài sản sau chưa đầy 1 giờ bị mất trộm
Tin nóng 04/01/2026 22:07
Liên tiếp triệt phá các vụ vận chuyển pháo lậu sát Tết Bính Ngọ
Tin nóng 04/01/2026 21:06
Hà Nội: Liên tiếp triệt phá các vụ buôn bán, tàng trữ pháo nổ trái phép
Tin nóng 03/01/2026 09:59
Giao thông ngày 2/1: Xử lý hơn 3.300 trường hợp vi phạm nồng độ cồn
Tin nóng 02/01/2026 22:47
TP.HCM: Triệt phá đường dây cưỡng đoạt tài sản xuyên biên giới núp bóng “hiệp sĩ”
Tin nóng 01/01/2026 20:49

