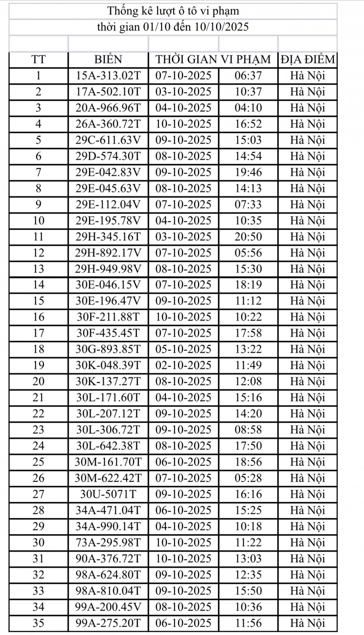
10 ngày đầu tháng 10/2025, camera phát hiện 41 trường hợp vi phạm giao thông
| Để không bị "phạt nguội", CSGT Hà Nội hướng dẫn tài xế sử dụng camera hành trình Camera AI phát hiện gần 2.000 người vi phạm giao thông ở Hà Nội trong nửa ngày |
Chiều 22/10, Phòng CSGT Hà Nội đã công bố thông tin về kết quả xử lý vi phạm giao thông qua hệ thống camera giám sát. Theo đó, trong khoảng thời gian 10 ngày đầu tháng 10/2025, từ ngày 1/10 đến hết ngày 10/10, hệ thống camera giám sát giao thông do đơn vị quản lý, vận hành đã phát hiện và ghi hình tổng cộng 41 trường hợp phương tiện vi phạm. Các trường hợp vi phạm này bao gồm cả ô tô và mô tô.
Việc tăng cường xử lý vi phạm giao thông thông qua hệ thống camera (thường gọi là "phạt nguội") là một trong những giải pháp trọng tâm nhằm nâng cao ý thức chấp hành pháp luật về giao thông, góp phần xây dựng trật tự, an toàn giao thông trên địa bàn Thủ đô.


Hướng dẫn tra cứu và giải quyết vi phạm
Phòng CSGT Hà Nội khuyến nghị chủ phương tiện, người điều khiển phương tiện bị ghi hình vi phạm chủ động tra cứu thông tin "phạt nguội" để kịp thời giải quyết, tránh bị xử phạt chậm trễ theo quy định.
Người dân có thể tra cứu thông tin chi tiết các trường hợp vi phạm trên trang thông tin điện tử chính thức của Cục CSGT - Bộ Công an tại địa chỉ: www.csgt.vn.
Bên cạnh đó, để được hướng dẫn, giải quyết vụ việc vi phạm hành chính cụ thể, chủ phương tiện có thể liên hệ trực tiếp với Đội Chỉ huy giao thông và điều khiển đèn tín hiệu giao thông (Phòng CSGT - Công an thành phố Hà Nội) tại địa chỉ: Số 54 Trần Hưng Đạo, phường Cửa Nam, Hà Nội. Điện thoại liên hệ: 0692.196.440.
Đáng chú ý, đối với người dân đang cư trú trên địa bàn Hà Nội, Phòng CSGT đã triển khai 14 địa điểm tiếp nhận và giải quyết kết quả thu thập được bằng phương tiện, thiết bị nghiệp vụ ("phạt nguội") trên toàn Thành phố. Người dân có thể đến một trong các địa điểm này để giải quyết vụ việc vi phạm hành chính một cách thuận tiện nhất.
Có thể bạn quan tâm
Nên xem
Chuyển đổi xanh: Xu hướng không thể đảo ngược
Hà Nội kiến tạo tương lai với kinh nghiệm từ các Thành phố sáng tạo thế giới
Công đoàn phường Yên Nghĩa tập huấn công tác tài chính cho Chủ tịch, kế toán CĐCS
Hà Nội vừa "siết" xử lý, vừa bồi dưỡng pháp luật giao thông cho học sinh và phụ huynh
Cảnh sát đường thủy Hà Nội "mạnh tay" xử lý lỗi chở quá tải
HĐND phường Đống Đa: Quyết nghị các giải pháp đột phá, tạo tiền đề cho năm 2026
Đảm bảo ngân sách Trung ương giữ vai trò chủ đạo, dẫn dắt
Tin khác
Hà Nội vừa "siết" xử lý, vừa bồi dưỡng pháp luật giao thông cho học sinh và phụ huynh
Giao thông 05/12/2025 13:11
Cảnh sát đường thủy Hà Nội "mạnh tay" xử lý lỗi chở quá tải
Giao thông 05/12/2025 13:09
Hình thành “vùng an toàn” cho học sinh: Bắt đầu từ quy hoạch
Giao thông 02/12/2025 18:53
Tăng cường tuyên truyền kiến thức pháp luật và kỹ năng lái xe cho doanh nghiệp vận tải
Giao thông 02/12/2025 17:25
Quyết liệt xử lý ô tô dừng đỗ trái phép, tài xế đủ "chiêu trò" đối phó
Giao thông 02/12/2025 16:43
Nhân lên hình ảnh đẹp, thân thiện của xe buýt Thủ đô
Giao thông 02/12/2025 13:14
Đào tạo nhân lực phục vụ mạng lưới đường sắt đô thị tại TP.HCM
Giao thông 02/12/2025 13:11
Mối lo từ nhóm tuổi "vàng" vi phạm nồng độ cồn
Giao thông 01/12/2025 22:27
Hà Nội quyết liệt xử lý xe ba, bốn bánh tự chế, xe chở hàng cồng kềnh
Giao thông 01/12/2025 19:16
Phố cà phê đường tàu tấp nập trở lại sau vài ngày giải tỏa
Giao thông 01/12/2025 18:44
